Free Common Core Worksheets Activities Hsn Q A 1
Limits Lesson Plans Worksheets Lesson Planet
4 Chemical Equations And Stoichiometry Worksheet Answers
569746514317 Radicals Worksheet Word
100 Balancing Equations Worksheet 2 Answers 008602372 1
Acid Base Reactions Worksheet Luxury Image Result For Acid And
978 Best Worksheet Gallery Images Math Worksheets Worksheets
Chemical Equations And Stoichiometry Worksheet Answers Tessshebaylo
Balancing Equations Practice Worksheet
Endocytosis And Exocytosis Worksheet Nidecmege
Limiting Reagent Worksheet 1 Answers Limiting Reagent Worksheet
50 Naming Ionic Compounds Worksheet Answers In 2020 Polyatomic
Chemistry Unit 1 Worksheet 5 Size Of Things Answer Key Kids
Genre Worksheet 1 Answers Nidecmege
Pre Ap Chem Stoich Practice Test
2 How Many Moles Of Lithium Nitrate Are Theoretically Produced If
Unit 1 Worksheet 2 Significant Figures Answers Nidecmege
Read Stoichiometry Guided Practice Answers Ebook Guides
Ns U5 Limiting Reactants 18 Stoichiometry Sets Of Chemical
Ch104 Chapter 6 Quantities In Chemical Reactions Chemistry
Module 1 Units Chemical Equations And Stoichiometry
Limits Lesson Plans Worksheets Lesson Planet
978 Best Worksheet Gallery Images Math Worksheets Worksheets
124415760860 Second Grade Free Math Worksheets Pdf Free 6th
Limiting Reactant And Percent Yield Worksheet Answers
Ijerph Free Full Text Assessing Health Vulnerabilities And
387932687532 Distance Time Graph Worksheets Sight Word Like
Master Organic Chemistry An Online Organic Chemistry Resource
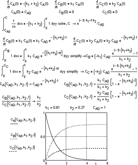
Formally Kinetic Description Of One And Two Step Reactions
4 Chemical Equations And Stoichiometry Worksheet Answers
Free Common Core Worksheets Activities Hsn Q A 1
Practice Problems On Net Ionic Equations Worksheet Answers
Chemistry Valence Electrons Worksheet Answers Kids Activities
Chemistry Guided Reading And Study Workbook Answers Chapter 4
Graphing Quadratics Review Worksheet Key Printable Worksheets
Https Www Doe K12 De Us Cms Lib De01922744 Centricity Domain 151 Saasappndx2012 Pdf
Upload Get Easy Solution Expression Calculator No Cost Guide
Online New Approaches In Cancer Pharmacology Drug Design And
713388164528 Dental Health Month Worksheets Protein Structure
322 Questions With Answers In Aspen Plus Science Topic
Formally Kinetic Description Of One And Two Step Reactions
Factoring Quadratic Trinomials Worksheet Nidecmege
What Is Molar Mass Definition Formula Examples Video
794615391176 Preschool Worksheets Matching Math Fact Families
Processes Free Full Text Multi Objective Optimization
Free Common Core Worksheets Activities Hsn Q A 1
978 Best Worksheet Gallery Images Math Worksheets Worksheets
Concept Fourth Grade Reading La 1st Nine Weeks
Identifying And Balancing Chemical Equations Worksheet Tessshebaylo
Http Schoolreports Cps Edu Newschools Rfps Asianhumanservices Tier 201 20combined 20pdf 20attachments Pdf
569746514317 Radicals Worksheet Word
Oulipo Wordshift 7 Wolfram Demonstrations Project
Https Www Uab Edu Undergraduateresearch Images Documents Uab Summer Expo 2017 Program Pdf
Ppt In 1 07 14 Warm Up Powerpoint Presentation Free Download
Compound Inequalities Worksheet Algebra 2 Nidecmege
Chemical Process Dynamics And Controls Book 2
Ppt In 1 07 14 Warm Up Powerpoint Presentation Free Download
Ijerph Free Full Text Mapping And Modelling Malaria Risk Areas
Chemistry Word Problems Worksheet Chezvictor Me
713388164528 Dental Health Month Worksheets Protein Structure
Pdf Determining Detection Limits For Environmental Analyses
Http Schoolreports Cps Edu Newschools Rfps Asianhumanservices Tier 201 20combined 20pdf 20attachments Pdf
Quantity Analysis Lesson Plans Worksheets Lesson Planet
Https Www Vwcs Net Docs Building 1 Depts 12 Course 20description 20booklets 2020 2021 20vwhs 20course 20handbook Pdf Id 1947
Chemical Equations And Stoichiometry Worksheet Answers Tessshebaylo
Https Www Cde State Co Us Assessment Cmas Coalt Interpretiveguide 2019
Chemical Process Dynamics And Controls Book 2
Selected Guidelines For The Management Of Records And Archives A
Limiting Reactants And Percent Yield Worksheet Delagrange 2006
37 Best Chemistry Worksheets Images Teaching Chemistry Teaching
Formally Kinetic Description Of One And Two Step Reactions
597876471933 Area Of A Cylinder Worksheet Pdf Creative Writing
Https Web2 Mlp Cz Koweb 00 04 24 15 49 Chemistry Pdf
Laws Of Chemical Combination Overview Explanation Video
Https Sweetwatersecondarycharter Com Wp Content Uploads 2014 10 Sweetwater Secondary School Charter Petition Submitted Pdf
Unravelling The Genetics Of Ischaemic Stroke Topic Of Research
Free Common Core Worksheets Activities Hsn Q A 1
Https Www2 K12albemarle Org Acps Division Board Reports 20archive 2008 12 Revisionstosciencecurriculum Pdf
Unit 1 Worksheet 2 Significant Figures Answers Nidecmege
Oulipo Wordshift 7 Wolfram Demonstrations Project
Wo2005092059a2 Compositions For Use In Identification Of Viral
Https Www Cde State Co Us Assessment Cmas Coalt Interpretiveguide 2019
Wcsd Course Handbook Hs 19 20 Final Pages 51 96 Text Version
Practices Influenced By Policy An Exploration Of Newly Hired
The Green Books By Bj Palmer V5 The Phil Of Chiropractic 1920 Pdf
Https Www Vwcs Net Docs Building 1 Depts 12 Course 20description 20booklets 2020 2021 20vwhs 20course 20handbook Pdf Id 1947
Https Www Onlinemathlearning Com 2020 04 20t12 39 50 000000
Https Hed State Nm Us Uploads Documents 2019 6 13gened Apps Red Pdf
Ppt In 1 07 14 Warm Up Powerpoint Presentation Free Download
Ap Chemistry Chemical Equations And Stoichiometry Worksheet Answers
Embryo Selection For Intelligence Gwern Net
Https Www Sccoe Org Supoffice Charter Schools Office Documents Sunrise 20renewal 20petition Pdf
Processes Free Full Text Multi Objective Optimization
New Books List October December Palgrave
Https Www Doe K12 De Us Cms Lib De01922744 Centricity Domain 151 4 Final Pdf
Chemistry Word Problems Worksheet Chezvictor Me



0 comments:
Post a Comment